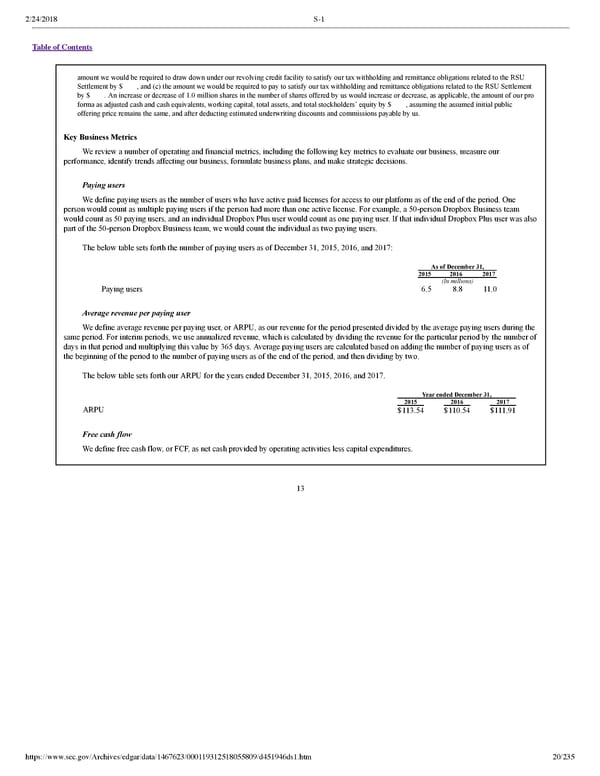
2/24/2018 S-1 Table of Contents amount we would be required to draw down under our revolving credit facility to satisfy our tax withholding and remittance obligations related to the RSU Settlement by $ , and (c) the amount we would be required to pay to satisfy our tax withholding and remittance obligations related to the RSU Settlement by $ . An increase or decrease of 1.0 million shares in the number of shares offered by us would increase or decrease, as applicable, the amount of our pro forma as adjusted cash and cash equivalents, working capital, total assets, and total stockholders’ equity by $ , assuming the assumed initial public offering price remains the same, and after deducting estimated underwriting discounts and commissions payable by us. Key Business Metrics We review a number of operating and financial metrics, including the following key metrics to evaluate our business, measure our performance, identify trends affecting our business, formulate business plans, and make strategic decisions. Paying users We define paying users as the number of users who have active paid licenses for access to our platform as of the end of the period. One person would count as multiple paying users if the person had more than one active license. For example, a 50­person Dropbox Business team would count as 50 paying users, and an individual Dropbox Plus user would count as one paying user. If that individual Dropbox Plus user was also part of the 50­person Dropbox Business team, we would count the individual as two paying users. The below table sets forth the number of paying users as of December 31, 2015, 2016, and 2017: As of December 31, 2015 2016 2017 (In millions) Paying users 6.5 8.8 11.0 Average revenue per paying user We define average revenue per paying user, or ARPU, as our revenue for the period presented divided by the average paying users during the same period. For interim periods, we use annualized revenue, which is calculated by dividing the revenue for the particular period by the number of days in that period and multiplying this value by 365 days. Average paying users are calculated based on adding the number of paying users as of the beginning of the period to the number of paying users as of the end of the period, and then dividing by two. The below table sets forth our ARPU for the years ended December 31, 2015, 2016, and 2017. Year ended December 31, 2015 2016 2017 ARPU $113.54 $110.54 $111.91 Free cash flow We define free cash flow, or FCF, as net cash provided by operating activities less capital expenditures. 13 https://www.sec.gov/Archives/edgar/data/1467623/000119312518055809/d451946ds1.htm 20/235

Dropbox S-1 | Interactive Prospectus - Page 20 Dropbox S-1 | Interactive Prospectus Page 19 Page 21