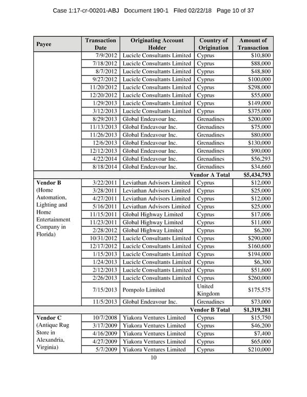
Case 1:17-cr-00201-ABJ Document 190-1 Filed 02/22/18 Page 10 of 37 Payee Transaction Originating Account Country of Amount of Date Holder Origination Transaction 7/9/2012 Lucicle Consultants Limited Cyprus $10,800 7/18/2012 Lucicle Consultants Limited Cyprus $88,000 8/7/2012 Lucicle Consultants Limited Cyprus $48,800 9/27/2012 Lucicle Consultants Limited Cyprus $100,000 11/20/2012 Lucicle Consultants Limited Cyprus $298,000 12/20/2012 Lucicle Consultants Limited Cyprus $55,000 1/29/2013 Lucicle Consultants Limited Cyprus $149,000 3/12/2013 Lucicle Consultants Limited Cyprus $375,000 8/29/2013 Global Endeavour Inc. Grenadines $200,000 11/13/2013 Global Endeavour Inc. Grenadines $75,000 11/26/2013 Global Endeavour Inc. Grenadines $80,000 12/6/2013 Global Endeavour Inc. Grenadines $130,000 12/12/2013 Global Endeavour Inc. Grenadines $90,000 4/22/2014 Global Endeavour Inc. Grenadines $56,293 8/18/2014 Global Endeavour Inc. Grenadines $34,660 Vendor A Total $5,434,793 Vendor B 3/22/2011 Leviathan Advisors Limited Cyprus $12,000 (Home 3/28/2011 Leviathan Advisors Limited Cyprus $25,000 Automation, 4/27/2011 Leviathan Advisors Limited Cyprus $12,000 Lighting and 5/16/2011 Leviathan Advisors Limited Cyprus $25,000 Home 11/15/2011 Global Highway Limited Cyprus $17,006 Entertainment 11/23/2011 Global Highway Limited Cyprus $11,000 Company in 2/28/2012 Global Highway Limited Cyprus $6,200 Florida) 10/31/2012 Lucicle Consultants Limited Cyprus $290,000 12/17/2012 Lucicle Consultants Limited Cyprus $160,600 1/15/2013 Lucicle Consultants Limited Cyprus $194,000 1/24/2013 Lucicle Consultants Limited Cyprus $6,300 2/12/2013 Lucicle Consultants Limited Cyprus $51,600 2/26/2013 Lucicle Consultants Limited Cyprus $260,000 7/15/2013 Pompolo Limited United $175,575 Kingdom 11/5/2013 Global Endeavour Inc. Grenadines $73,000 Vendor B Total $1,319,281 Vendor C 10/7/2008 Yiakora Ventures Limited Cyprus $15,750 (Antique Rug 3/17/2009 Yiakora Ventures Limited Cyprus $46,200 Store in 4/16/2009 Yiakora Ventures Limited Cyprus $7,400 Alexandria, 4/27/2009 Yiakora Ventures Limited Cyprus $65,000 Virginia) 5/7/2009 Yiakora Ventures Limited Cyprus $210,000 10

Manafort and Gates superseding indictment - Page 10 Manafort and Gates superseding indictment Page 9 Page 11