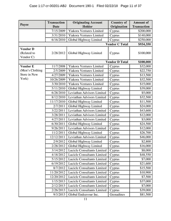
Case 1:17-cr-00201-ABJ Document 190-1 Filed 02/22/18 Page 11 of 37 Payee Transaction Originating Account Country of Amount of Date Holder Origination Transaction 7/15/2009 Yiakora Ventures Limited Cyprus $200,000 3/31/2010 Yiakora Ventures Limited Cyprus $140,000 6/16/2010 Global Highway Limited Cyprus $250,000 Vendor C Total $934,350 Vendor D (Related to 2/28/2012 Global Highway Limited Cyprus $100,000 Vendor C) Vendor D Total $100,000 Vendor E 11/7/2008 Yiakora Ventures Limited Cyprus $32,000 (Men’s Clothing 2/5/2009 Yiakora Ventures Limited Cyprus $22,750 Store in New 4/27/2009 Yiakora Ventures Limited Cyprus $13,500 York) 10/26/2009 Yiakora Ventures Limited Cyprus $32,500 3/30/2010 Yiakora Ventures Limited Cyprus $15,000 5/11/2010 Global Highway Limited Cyprus $39,000 6/28/2010 Leviathan Advisors Limited Cyprus $5,000 8/12/2010 Leviathan Advisors Limited Cyprus $32,500 11/17/2010 Global Highway Limited Cyprus $11,500 2/7/2011 Global Highway Limited Cyprus $24,000 3/22/2011 Leviathan Advisors Limited Cyprus $43,600 3/28/2011 Leviathan Advisors Limited Cyprus $12,000 4/27/2011 Leviathan Advisors Limited Cyprus $3,000 6/30/2011 Global Highway Limited Cyprus $24,500 9/26/2011 Leviathan Advisors Limited Cyprus $12,000 11/2/2011 Global Highway Limited Cyprus $26,700 12/12/2011 Leviathan Advisors Limited Cyprus $46,000 2/9/2012 Global Highway Limited Cyprus $2,800 2/28/2012 Global Highway Limited Cyprus $16,000 3/14/2012 Lucicle Consultants Limited Cyprus $8,000 4/18/2012 Lucicle Consultants Limited Cyprus $48,550 5/15/2012 Lucicle Consultants Limited Cyprus $7,000 6/19/2012 Lucicle Consultants Limited Cyprus $21,600 8/7/2012 Lucicle Consultants Limited Cyprus $15,500 11/20/2012 Lucicle Consultants Limited Cyprus $10,900 12/20/2012 Lucicle Consultants Limited Cyprus $7,500 1/15/2013 Lucicle Consultants Limited Cyprus $37,000 2/12/2013 Lucicle Consultants Limited Cyprus $7,000 2/26/2013 Lucicle Consultants Limited Cyprus $39,000 9/3/2013 Global Endeavour Inc. Grenadines $81,500 11

Manafort and Gates superseding indictment - Page 11 Manafort and Gates superseding indictment Page 10 Page 12