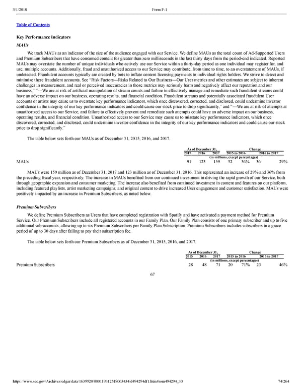
74/264 Key Performance Indicators MAUs We track MAUs as an indicator of the size of the audience engaged with our Service. We define MAUs as the total count of Ad­Supported Users and Premium Subscribers that have consumed content for greater than zero milliseconds in the last thirty days from the period­end indicated. Reported MAUs may overstate the number of unique individuals who actively use our Service within a thirty­day period as one individual may register for, and use, multiple accounts. Additionally, fraud and unauthorized access to our Service may contribute, from time to time, to an overstatement of MAUs, if undetected. Fraudulent accounts typically are created by bots to inflate content licensing payments to individual rights holders. We strive to detect and minimize these fraudulent accounts. See “Risk Factors—Risks Related to Our Business—Our User metrics and other estimates are subject to inherent challenges in measurement, and real or perceived inaccuracies in those metrics may seriously harm and negatively affect our reputation and our business,” “—We are at risk of artificial manipulation of stream counts and failure to effectively manage and remediate such fraudulent streams could have an adverse impact on our business, operating results, and financial condition. Fraudulent streams and potentially associated fraudulent User accounts or artists may cause us to overstate key performance indicators, which once discovered, corrected, and disclosed, could undermine investor confidence in the integrity of our key performance indicators and could cause our stock price to drop significantly,” and “—We are at risk of attempts at unauthorized access to our Service, and failure to effectively prevent and remediate such attempts could have an adverse impact on our business, operating results, and financial condition. Unauthorized access to our Service may cause us to misstate key performance indicators, which once discovered, corrected, and disclosed, could undermine investor confidence in the integrity of our key performance indicators and could cause our stock price to drop significantly.” The table below sets forth our MAUs as of December 31, 2015, 2016, and 2017. As of December 31, Change 2015 2016 2017 2015 to 2016 2016 to 2017 (in millions, except percentages) MAUs 91 123 159 32 36 % 36 29 % MAUs were 159 million as of December 31, 2017 and 123 million as of December 31, 2016. This represented an increase of 29% and 36% from the preceding fiscal year, respectively. The increase in MAUs benefited from our continued investment in driving the rapid growth of our Service, both through geographic expansion and consumer marketing. The increase also benefited from continued investment in content and features on our platform, including featured playlists, artist marketing campaigns, and original content to drive increased User engagement and customer satisfaction. MAUs were positively impacted by an increase in Premium Subscribers, as noted below. Premium Subscribers We define Premium Subscribers as Users that have completed registration with Spotify and have activated a payment method for Premium Service. Our Premium Subscribers include all registered accounts in our Family Plan. Our Family Plan consists of one primary subscriber and up to five additional sub­accounts, allowing up to six Premium Subscribers per Family Plan Subscription. Premium Subscribers includes subscribers in a grace period of up to 30 days after failing to pay their subscription fee. The table below sets forth our Premium Subscribers as of December 31, 2015, 2016, and 2017. As of December 31, Change 2015 2016 2017 2015 to 2016 2016 to 2017 (in millions, except percentages) Premium Subscribers 28 48 71 20 71 % 23 46 % 67

Spotify F1 | Interactive Prospectus - Page 74 Spotify F1 | Interactive Prospectus Page 73 Page 75