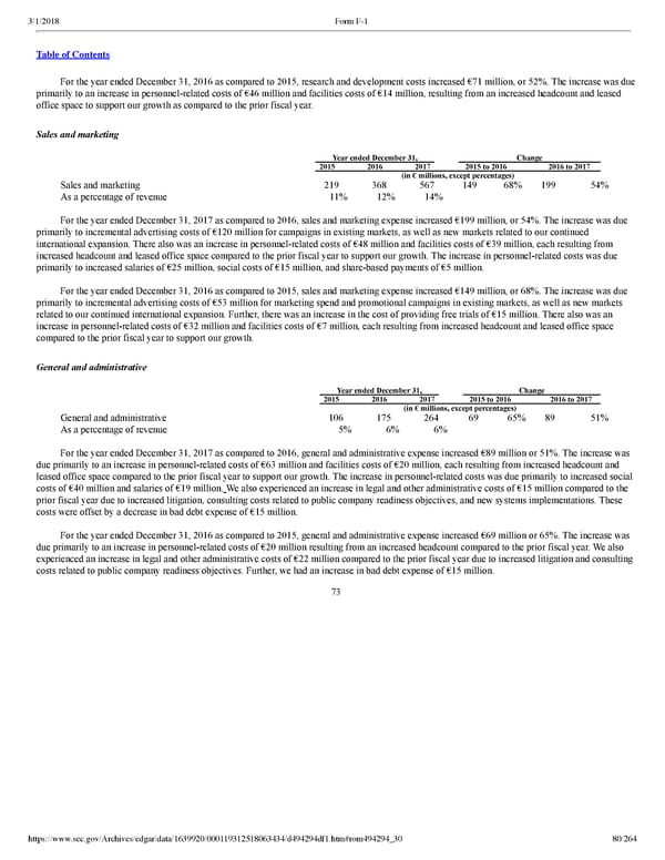
80/264 For the year ended December 31, 2016 as compared to 2015, research and development costs increased €71 million, or 52%. The increase was due primarily to an increase in personnel­related costs of €46 million and facilities costs of €14 million, resulting from an increased headcount and leased office space to support our growth as compared to the prior fiscal year. Sales and marketing Year ended December 31, Change 2015 2016 2017 2015 to 2016 2016 to 2017 (in € millions, except percentages) Sales and marketing 219 368 567 149 68 % 199 54 % As a percentage of revenue 11 % 12 % 14 % For the year ended December 31, 2017 as compared to 2016, sales and marketing expense increased €199 million, or 54%. The increase was due primarily to incremental advertising costs of €120 million for campaigns in existing markets, as well as new markets related to our continued international expansion. There also was an increase in personnel­related costs of €48 million and facilities costs of €39 million, each resulting from increased headcount and leased office space compared to the prior fiscal year to support our growth. The increase in personnel­related costs was due primarily to increased salaries of €25 million, social costs of €15 million, and share­based payments of €5 million. For the year ended December 31, 2016 as compared to 2015, sales and marketing expense increased €149 million, or 68%. The increase was due primarily to incremental advertising costs of €53 million for marketing spend and promotional campaigns in existing markets, as well as new markets related to our continued international expansion. Further, there was an increase in the cost of providing free trials of €15 million. There also was an increase in personnel­related costs of €32 million and facilities costs of €7 million, each resulting from increased headcount and leased office space compared to the prior fiscal year to support our growth. General and administrative Year ended December 31, Change 2015 2016 2017 2015 to 2016 2016 to 2017 (in € millions, except percentages) General and administrative 106 175 264 69 65 % 89 51 % As a percentage of revenue 5 % 6 % 6 % For the year ended December 31, 2017 as compared to 2016, general and administrative expense increased €89 million or 51%. The increase was due primarily to an increase in personnel­related costs of €63 million and facilities costs of €20 million, each resulting from increased headcount and leased office space compared to the prior fiscal year to support our growth. The increase in personnel­related costs was due primarily to increased social costs of €40 million and salaries of €19 million. We also experienced an increase in legal and other administrative costs of €15 million compared to the prior fiscal year due to increased litigation, consulting costs related to public company readiness objectives, and new systems implementations. These costs were offset by a decrease in bad debt expense of €15 million. For the year ended December 31, 2016 as compared to 2015, general and administrative expense increased €69 million or 65%. The increase was due primarily to an increase in personnel­related costs of €20 million resulting from an increased headcount compared to the prior fiscal year. We also experienced an increase in legal and other administrative costs of €22 million compared to the prior fiscal year due to increased litigation and consulting costs related to public company readiness objectives. Further, we had an increase in bad debt expense of €15 million. 73

Spotify F1 | Interactive Prospectus - Page 80 Spotify F1 | Interactive Prospectus Page 79 Page 81