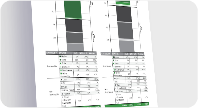
ENVIRONMENTAL DATA ENERGY DATA Appendix C 2021 Owens Corning Sustainability Report | Appendices | 310 Global Electricity Mix Market-Based CATEGORY SOURCE U.S. NON-U.S. GLOBAL Renewable  Hydro 2% 26% 14%  Wind 54% 15% 35%  Solar 1% 1% 1%  Biomass 1% 1% 1%  Geothermal <1% 0% <1%  Other Renewable 0% <1% <1% Non- Renewable  Coal 12% 27% 20%  Oil <1% 2% 1%  Gas 17% 16% 17%  Other Fossil <1% 1% <1%  Nuclear 14% 10% 12%  Other Unknown/ Purchased Fuel <1% 0% <1% TOTAL 100% 100% 100% CATEGORY SOURCE U.S. NON-U.S. GLOBAL Renewable  Hydro 5% 12% 8%  Wind 9% 8% 8%  Solar 2% 7% 4%  Biomass 2% 5% 3%  Geothermal <1% 0% <1%  Other Renewable 0% <1% <1% Non- Renewable  Coal 24% 27% 26%  Oil <1% 2% 1%  Gas 37% 17% 27%  Other Fossil <1% 6% 3%  Nuclear 20% 17% 19%  Other Unknown/ Purchased Fuel <1% 0% <1% TOTAL 100% 100% 100% 51% Renewable 49% Non-Renewable 24% Renewable 76% Non-Renewable Global Electricity Mix Location-Based 100 80 60 40 20 100 80 60 40 20

Owens Corning Sustainability Report - Page 310 Owens Corning Sustainability Report Page 309 Page 311